Τα πιο πρόσφατα επίσημα στοιχεία της Eurostat δείχνουν μια έντονη απόκλιση μεταξύ της Ελλάδας και της Ευρωπαϊκής Ένωσης στον τομέα της αγροτικής παραγωγικότητας.
Ενώ στην ΕΕ η παραγωγικότητα της γεωργικής εργασίας παρουσίασε αξιόλογη αύξηση το 2025, η Ελλάδα κατέγραψε σημαντική μείωση. Αυτές οι διαφορές δεν είναι στατιστικό φαινόμενο του ενός έτους — αποτυπώνουν δομικά ζητήματα στην ελληνική αγροτική οικονομία που επηρεάζουν την ανταγωνιστικότητα, την αποδοτικότητα και τη βιωσιμότητα των εκμεταλλεύσεων. Τα αποτελέσματα έρευνας, είχαν ως στόχο τη διερεύνηση του φαινομένου της συγκέντρωσης της αγοράς στον ευρωπαϊκό γεωργικό και κτηνοτροφικό κλάδο από το 2010 έως το 2020 σε περιφερειακό επίπεδο, αξιοποιώντας τη χωροχρονική δυναμική του δείκτη συγκέντρωσης Gini για τη γη που ανήκει στους ευρωπαίους αγρότες και για την τυποποιημένη παραγωγή τους. Διερευνήθηκε η μεταβλητότητα εντός και μεταξύ των περιφερειών όσον αφορά το μέγεθος της γης και της παραγωγής, προκειμένου να αξιολογηθεί εάν η ευρωπαϊκή γεωργική αγορά υπέστη μια αυξανόμενη συγκέντρωση ισχύος σε λιγότερες αλλά μεγαλύτερες γεωργικές εκμεταλλεύσεις. Η εκτενής χαρτογράφηση που παρέχει η μελέτη αυτή μπορεί να επιτρέψει μια λεπτομερή κοινωνικοοικονομική και πολιτική αξιολόγηση σε χωρική κλίμακα της διαδικασίας ολοκλήρωσης της ευρωπαϊκής γεωργικής αγοράς, των πρόσφατων και μελλοντικών τάσεών της στο σύνθετο και αβέβαιο μετα-COVID πλαίσιο και της αναδιάρθρωσης των διεθνών σχέσεων λόγω των κρίσεων και της μετάβασης στην πράσινη ενέργεια.
Χρησιμοποιήθηκαν δεδομένα περιφερειακού (NUTS-2) και εθνικού (NUTS-0) επιπέδου από την Eurostat (Eurostat, 2024b) για να διερευνηθεί η χωροχρονική δυναμική της ανισότητας και της μεταβλητότητας των κύριων δεικτών παραγωγής και οικονομικών δεικτών των ευρωπαϊκών γεωργικών εκμεταλλεύσεων. Ειδικότερα, μελετήθηκε η μεταβλητότητα εντός και μεταξύ των περιφερειών όσον αφορά το μέγεθος της οικονομίας και της παραγωγής, προκειμένου να αξιολογηθεί εάν η ευρωπαϊκή γεωργική αγορά υπέστη μια αυξανόμενη συγκέντρωση ισχύος σε λιγότερες αλλά μεγαλύτερες γεωργικές εκμεταλλεύσεις. Εκτιμήθηκε η συγκέντρωση και η διαφορά της αγοράς χρησιμοποιώντας τον δείκτη Gini (Giorgi & Gigliarano,2017).
Τα χρονικά πρότυπα των δεικτών Gini της Ελλάδας είναι ιδιαίτερα ενδιαφέροντα. Ξεκινώντας με έναν μέσο δείκτη Gini σε εκτάρια παρόμοιο με αυτόν της Δυτικής Γερμανίας, παρατηρήθηκε η μεγαλύτερη απόλυτη πτώση στο δείγμα στις περισσότερες ελληνικές περιοχές NUTS-2 κατά τη διάρκεια της δεκαετίας που εξετάστηκε. Ωστόσο, κατά την ίδια χρονική περίοδο παρατηρήθηκαν διαφορετικές διακυμάνσεις του δείκτη Gini της τυπικής παραγωγής, γεγονός που σημαίνει ότι, ενώ το μέγεθος της γης έγινε σαφώς πιο ομοιογενές, η τυπική παραγωγή έγινε πολύ πιο συγκεντρωμένη.
Αυτό είναι ιδιαίτερα σημαντικό στην περιοχή της Ηπείρου, όπου παρατηρήθηκε η μεγαλύτερη αύξηση του δείκτη Gini της τυπικής παραγωγής και η μεγαλύτερη πτώση του δείκτη Gini των εκταρίων. Στο κεντρικό-ανατολικό τμήμα της Ευρώπης, υπάρχουν ορισμένες χώρες με πολύ υψηλό επίπεδο και των δύο δεικτών Gini, με ετερογενή πρότυπα. Η Βουλγαρία είχε έναν από τους μεγαλύτερους δείκτες Gini εκτάρια το 2010, ο οποίος μειώθηκε τα επόμενα 10 χρόνια σε ολόκληρη την εθνική επικράτεια, ενώ ο δείκτης Gini τυπικής παραγωγής αυξήθηκε ελαφρώς, ιδίως στην νοτιοδυτική περιοχή, στην νοτιοκεντρική περιοχή και στην βορειοδυτική περιοχή.
Χάρτες σχετικής μεταβολής του δείκτη Gini για την παραγωγή και τις γεωργικές εκτάσεις από το 2010 έως το 2020 στην Ευρώπη

Στην Ουγγαρία και τη Σλοβακία παρατηρείται παρόμοιο μοτίβο, με τη μόνη διαφορά να είναι το μέγεθος της αύξησης της συγκέντρωσης της τυπικής παραγωγής, η οποία ήταν μηδενική ή πολύ χαμηλή και στις δύο χώρες. Η Ιρλανδία, οι Κάτω Χώρες και το Βέλγιο έχουν παρόμοια επίπεδα και μοτίβα των δύο δεικτών Gini, και οι δύο σχετικά χαμηλά σε σύγκριση με τις άλλες χώρες και με μικρές διακυμάνσεις κατά τη διάρκεια της δεκαετίας. Όσον αφορά τη Λιθουανία (LT), οι τελευταίες διαθέσιμες πληροφορίες από την Eurostat αφορούν το 2016. Επομένως, ο δείκτης Gini και η αντίστοιχη σχετική διακύμανση δεν είναι διαθέσιμα (γκρι περιοχή).
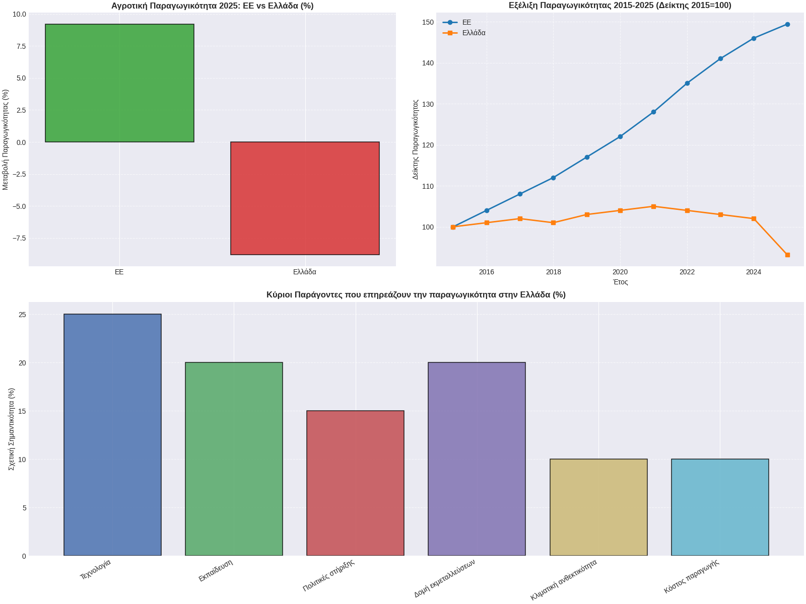
Η εικόνα στην ΕΕ και την Ελλάδα (Eurostat, 2025)
Τα επίσημα στοιχεία της Eurostat για το 2025 δείχνουν:
-
Η *παραγωγικότητα της γεωργικής εργασίας στην ΕΕ αυξήθηκε κατά +9,2 % σε σύγκριση με το 2024, ενώ
-
Στην *Ελλάδα ο δείκτης παραγωγικότητας μειώθηκε κατά -8,8 % την ίδια περίοδο.
Ο δείκτης αυτός δεν μετρά απλώς προϊόν ανά στρέμμα, αλλά αφορά την πραγματική αξία παραγωγής ανά μονάδα εργασίας, λαμβάνοντας υπόψη το κόστος παραγωγής και τη συνολική απόδοση της εργασίας.
Αυτό σημαίνει ότι, σε αντίθεση με τον μέσο κοινοτικό όρο, στην Ελλάδα κάθε ώρα εργασίας στον πρωτογενή τομέα αποδίδει λιγότερο σε αξία παρά έπρεπε, παρά τα δεδομένα κόστη και εισροές.
Πηγή: Eurostat, Economic Accounts for Agriculture (2025 estimate)

Εννοιολογική ανάλυση βασισμένη σε διεθνή βιβλιογραφία (OECD, EC reports)
Μακροπρόθεσμη τάση και σύγκριση (2023–2025)
Τα στοιχεία δείχνουν ότι η παραγωγικότητα στην ΕΕ έχει περίπου αυξηθεί +49,4 % τις τελευταίες δέκα χρόνια (2015–2025), ενώ η Ελλάδα κινείται σε πιο αργούς ρυθμούς και η πτώση του 2025 αποτελεί σημαντική απόκλιση από τον ευρωπαϊκό μέσο όρο.
Παράλληλα, τα δεδομένα για το 2023 δείχνουν ότι η συνολική γεωργική παραγωγή στην Ελλάδα μειώθηκε περίπου -16 %, έναντι περίπου -1,5 % στην ΕΕ συνολικά.
Κύριοι Παράγοντες της Διαφοράς
Η μείωση της παραγωγικότητας στην Ελλάδα συγκροτείται από πολλούς αλληλοεπηρεαζόμενους παράγοντες:
1) Δομή εκμεταλλεύσεων και οικονομίες κλίμακας
Η Ελληνική γεωργία χαρακτηρίζεται από μικρά και κατακερματισμένα αγροκτήματα, σε αντίθεση με πολλές άλλες χώρες της ΕΕ που έχουν μεγαλύτερες και πιο συγκροτημένες παραγωγικές μονάδες. Η δομή αυτή περιορίζει την αξιοποίηση τεχνολογιών που αυξάνουν αποτελεσματικά την παραγωγή και μειώνουν το κόστος ανά μονάδα παραγωγής.
2) Τεχνολογική υστέρηση & υιοθέτηση καινοτομίας
Παρά την ύπαρξη τεχνολογικών εργαλείων όπως η γεωργία ακριβείας, η εφαρμογή τους στην Ελλάδα παραμένει περιορισμένη. Οι λόγοι περιλαμβάνουν υψηλό αρχικό κόστος, περιορισμένη πρόσβαση σε χρηματοδότηση και έλλειψη υποστήριξης/εκπαίδευσης για τους παραγωγούς. Στην ΕΕ, αντίθετα, η υιοθέτηση καινοτομιών είναι συστηματική και αποτελεί βασικό εργαλείο αύξησης παραγωγικότητας.
3) Κόστος παραγωγής και περιθώρια κέρδους
Το κόστος εισροών (ενέργεια, λιπάσματα, πετρέλαιο, ζωοτροφές) έχει αυξηθεί διεθνώς και επηρεάζει δυσανάλογα την ελληνική γεωργία επειδή πολλές εκμεταλλεύσεις έχουν περιορισμένη διαπραγματευτική δύναμη και μικρά περιθώρια κέρδους. Όταν τα κόστη αυξάνονται πιο γρήγορα από την παραγωγική αξία, ο δείκτης παραγωγικότητας μειώνεται.
4) Εξάρτηση από επιδοτήσεις
Οι αγροτικές επιδοτήσεις στην Ελλάδα συχνά λειτουργούν περισσότερο ως μέσο επιβίωσης και όχι ως εργαλείο εκσυγχρονισμού ή αύξησης αποδοτικότητας. Δεν στοχεύουν στη χρηματοδότηση νέων τεχνολογιών ή πρακτικών που βελτιώνουν αποδοτικότητα ανά μονάδα εργασίας. Αυτή η δομική διαφορά επηρεάζει αρνητικά τις παραγωγικές τάσεις.
5) Κλιματική αλλαγή και ρίσκο
Η Ελλάδα είναι ιδιαίτερα εκτεθειμένη σε ακραία καιρικά φαινόμενα που συχνά προκαλούν απώλειες παραγωγής. Ο περιορισμένος σχεδιασμός διαχείρισης ρίσκου και τα ανεπαρκή εργαλεία αντιστάθμισης (π.χ. ασφάλειες) εντείνουν τις απώλειες σε πιθανή παραγωγή και καθιστούν πιο ασταθή την παραγωγικότητα.
Συμπέρασμα
Η μείωση της παραγωγικότητας της γεωργικής εργασίας στην Ελλάδα δεν είναι μεμονωμένο περιστατικό. Προκύπτει από:
-
Δομικές αδυναμίες στη διάρθρωση των εκμεταλλεύσεων
-
Ανεπαρκή τεχνολογική υιοθέτηση
-
Υψηλό κόστος παραγωγής
-
Περιορισμένη στόχευση επιδοτήσεων
-
Ακραία καιρικά φαινόμενα χωρίς επαρκή εργαλεία αντιστάθμισης
Αν η Ελλάδα δεν αντιμετωπίσει αυτές τις προκλήσεις με στοχευμένες πολιτικές και αποτελεσματικές επενδύσεις σε τεχνολογία και εκπαίδευση, η απόκλιση από την παραγωγικότητα στην υπόλοιπη ΕΕ αναμένεται να διευρυνθεί.
Πηγές
-
Eurostat — EU agricultural labour productivity up by 9.2 % in 2025. https://ec.europa.eu/eurostat/web/products-eurostat-news/w/ddn-20251217-2
-
in.gr — ΕΕ +9,2 % / Ελλάδα −8,8 %. https://www.in.gr/2025/12/18/economy/agro-in/eurostat-eyropi-trexei-agrotiki-paragogi-sto-92-kai-ellada-88
-
Agronews — Πτώση αγροτικής παραγωγής Ελλάδας 2023. https://www.agronews.gr/oikonomia-kai-politiki/diethni/217938/ptosi-15-stin-agrotiki-paragogi-tis-ee-to-2023-sto-16-i-meiosi-stin-ellada
-
Brussel Times — EU labour productivity in agriculture up by almost 10 %. https://www.brusselstimes.com/1885678/eu-labour-productivity-in-agriculture-up-by-almost-10-in-2025
-
Reuters — Farmers protest over rising production costs in Greece. https://www.reuters.com/world/farmers-protest-greek-capital-over-rising-production-costs-2026-02-13
-
OT.gr — Κλιματική κρίση και πρωτογενής τομέας. https://www.ot.gr/2025/06/19/oikonomia/klimatiki-krisi-poso-stoixizei-ston-protogeni-tomea
-
ArXiv — Inequality and concentration in farmland production. https://arxiv.org/abs/2409.00111




















